AA
Data
Raw
Sweeps
Analysis
Upload
Projects
Plugins
20250314_c_bathapplication_0.1_0.3_0.5_Urethan_fp_L2_3
Included analysis:
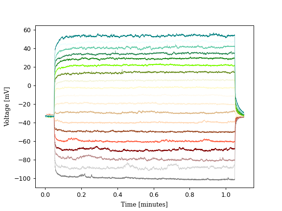
data/analysis/2025-03-14/0-0-2_t43Soma_sweeps/stacked-0-19_0-0-2_t43Soma_sweeps.png
remove
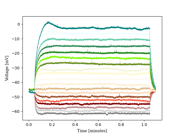
data/analysis/2025-03-14/0-0-2_t45Soma_sweeps/stacked-0-19_0-0-2_t45Soma_sweeps.png
remove
data/analysis/2025-03-14/0-0-2_t46Soma_sweeps/stacked-0-19_0-0-2_t46Soma_sweeps.png
remove
data/analysis/2025-03-14/0-0-2_t47Soma_sweeps/stacked-0-19_0-0-2_t47Soma_sweeps.png
remove
data/analysis/2025-03-14/0-0-2_t49Soma_sweeps/stacked-0-19_0-0-2_t49Soma_sweeps.png
remove
Dowload minimal
t43Soma
Sweep-selection: stacked-0-19,
v: 0-0-2
t45Soma
Sweep-selection: stacked-0-19,
v: 0-0-2
t46Soma
Sweep-selection: stacked-0-19,
v: 0-0-2
t47Soma
Sweep-selection: stacked-0-19,
v: 0-0-2
t49Soma
Sweep-selection: stacked-0-19,
v: 0-0-2
Previous
Next
Y-Axis Min
Y-Axis Max
Stack
Previous
Next
t43Soma
Sweep-selection: stacked-0-19,
v: 0-0-2
Go to analysis:
t45Soma
Sweep-selection: stacked-0-19,
v: 0-0-2
Go to analysis:
t46Soma
Sweep-selection: stacked-0-19,
v: 0-0-2
Go to analysis:
t47Soma
Sweep-selection: stacked-0-19,
v: 0-0-2
Go to analysis:
t49Soma
Sweep-selection: stacked-0-19,
v: 0-0-2
Go to analysis: