AA
Data
Raw
Sweeps
Analysis
Upload
Projects
Plugins
20250321_b_bathapplication_0.1_0.3_0.5_Urethan_fp
Included analysis:
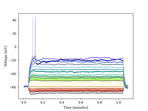
data/analysis/2025-03-21/0-0-2_t23Soma_sweeps/stacked-0-25_0-0-2_t23Soma_sweeps.png
remove
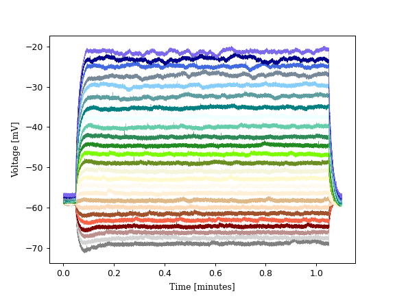
data/analysis/2025-03-21/0-0-2_t26Soma_sweeps/stacked-0-25_0-0-2_t26Soma_sweeps.png
remove
data/analysis/2025-03-21/0-0-2_t29Soma_sweeps/stacked-0-25_0-0-2_t29Soma_sweeps.png
remove
data/analysis/2025-03-21/0-0-2_t31Soma_sweeps/stacked-0-25_0-0-2_t31Soma_sweeps.png
remove
data/analysis/2025-03-21/0-0-2_t34Soma_sweeps/stacked-0-25_0-0-2_t34Soma_sweeps.png
remove
Dowload minimal
t23Soma
Sweep-selection: stacked-0-25,
v: 0-0-2
t26Soma
Sweep-selection: stacked-0-25,
v: 0-0-2
t29Soma
Sweep-selection: stacked-0-25,
v: 0-0-2
t31Soma
Sweep-selection: stacked-0-25,
v: 0-0-2
t34Soma
Sweep-selection: stacked-0-25,
v: 0-0-2
Previous
Next
Y-Axis Min
Y-Axis Max
Stack
Previous
Next
t23Soma
Sweep-selection: stacked-0-25,
v: 0-0-2
Go to analysis:
t26Soma
Sweep-selection: stacked-0-25,
v: 0-0-2
Go to analysis:
t29Soma
Sweep-selection: stacked-0-25,
v: 0-0-2
Go to analysis:
t31Soma
Sweep-selection: stacked-0-25,
v: 0-0-2
Go to analysis:
t34Soma
Sweep-selection: stacked-0-25,
v: 0-0-2
Go to analysis: